40 project schedule network diagram template
Activity on Node Project Management Knowledge 723277 network diagrams project management monpence 554448 Our goal is that these network diagram project management template pictures gallery can be a guidance for you, deliver you more references and also make you have a great day. If you don’t mind share your comment with us and our followers […] 20 Best Sample Of Aon Project Network Diagram Design Ideas Http Bookingritzcarlton Info 20 Best Sample Of Aon Project Diagram Design Diagram Template Design. Critical Path Method Scheduling Example 1 Schedule Template Word Diagram Excel. Using Activity Network Diagram Layouts In Primavera P6 Layout Activities Primavera.
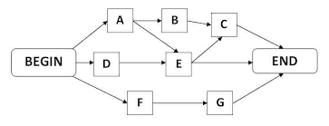
Project Network diagram is one of the many ways to represent project schedule. It is the most powerful way to analyze logical relationships between different activities and milestones. Some of the other popular methods to represent the project schedule are:
Project schedule network diagram template
Various network diagrams templates are available to download and customize, including rack diagram, network topology, CCTV network, LDAP and active directory diagrams. Through the sharing community, you can either upload and share your creative designs, or explore suitable templates for personal use. Creating A Network Diagram in Excel and Word. A network diagram is a project management flow chart that displays the relationships between all the components of a project. The illustrative format makes it easy to determine the flow of the project, where you currently are in the project’s life-cycle and links between parallel and successive activities as well, all with just a quick glance. 31 Jul 2020 — Download Critical Path Construction Schedule Template ... This critical path analysis template provides a network diagram that includes ...
Project schedule network diagram template. Create and visualize the components of a network online. Understand the flow of information and interactions among network devices. Start with a template ...Wireless network diagram · Server rack diagram · Web application hosting... Browse activity network templates and examples you can make with SmartDraw. In the process of sequence activities, the schedule network diagrams fall under the outputs of the process. A schedule network diagram in project management is ... Schedule Network Diagram Template. angelo. November 11, 2021. Critical Path Method Scheduling Example 1 Schedule Template Word Diagram Excel. Network Diagram Template For Powerpoint Slidemodel Powerpoint Powerpoint Templates Microsoft Visio. Network Topology Is The Arrangement Of The Various Elements Links Nodes Etc Of A Communication Network ...
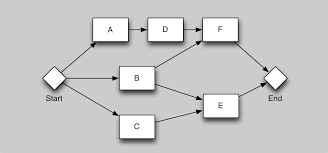
23 Aug 2021 — Network Diagram in Project Management : Examples and Template ... reading a book because of the sequential schedules of the network diagram. In the process of sequence activities, the schedule network diagrams fall under the outputs of the process. A schedule network diagram in project management is ... A Network Diagram is a graphical way to view tasks, dependencies, and the critical path of your project. Boxes (or nodes) represent tasks, and dependencies show up as lines that connect those boxes. After you’ve switched views, you can add a legend, customize how your boxes appear, and print your Network Diagram.. To find the Network diagram view, choose View > Network Diagram. A project schedule network diagram is an output type of the process ‘sequencing activities’ according to PMI’s Guide to the Project Management Body of Knowledge (PMBOK®, 6 th ed., ch. 6.3.3). Project schedule network diagrams show the order in which activities should be scheduled to address logical relationships between these activities.
Project schedule network diagrams can be divided into two types, the arrow diagram method (ADM) and the precedence diagram method (PDM). As expected, the arrow diagram method or activity on arrow network diagram uses arrows to represent the project activities, with the tail of the arrow being its start and the point the finish. Project Schedule Network Diagram Template. Another free MindMapper Project Management Mind Map shared on Biggerplate! Register FREE to download thousands of mind map templates and examples!. View more MindMapper templates.. Need custom mind map templates for your business? 31 Jul 2020 — Download Critical Path Construction Schedule Template ... This critical path analysis template provides a network diagram that includes ... Creating A Network Diagram in Excel and Word. A network diagram is a project management flow chart that displays the relationships between all the components of a project. The illustrative format makes it easy to determine the flow of the project, where you currently are in the project’s life-cycle and links between parallel and successive activities as well, all with just a quick glance.
Various network diagrams templates are available to download and customize, including rack diagram, network topology, CCTV network, LDAP and active directory diagrams. Through the sharing community, you can either upload and share your creative designs, or explore suitable templates for personal use.

Health Sciences Center, Stony Brook, New York, Sectional Diagram (c. 1974) // Bertrand Goldberg American, 1913-1997

#macro #dragonfly #butterfly #purple #macro #flower #macrophotography #photooftheday #picoftheday #bestoftheday #photo #photography #canon #canonphotography #canon_photos #canonphotos #canonuk #mycanon #instagood #beautiful #huffpostgram #ig_exquisite #mo

860-880 North Lake Shore Drive, Electrical Riser Diagram (11/28/1949) // Ludwig Mies van der Rohe (American, born Germany, 1886–1969) Associate Architect: Holsman, Holsman, Klekamp and Taylor (American, 20th century) Associate Architect: Pace Associates (American, 20th century) Structural Engineer: Frank J. Kornacker (American, active 1940s–1950s)

Being Not Truthful Always Works Against Me (edition 1/10) (2006) // Stefan Sagmeister (Austrian, born 1962) Ralph Ammer (German, born 1973)

#Butterfly #Macro #dragonfly #photo #photography #macrophoto #macrophotography #macroPhotos #awesome #photos #photoworld #photoclick #awesomeclick #bangladeshi #photo2017 #followme #follow #like #me #follows
0 Response to "40 project schedule network diagram template"
Post a Comment